Предмет: Геометрия,
автор: apestov123
1. Основное тригонометрическое торжество
2. Написать формулы:
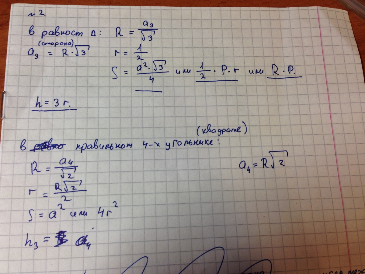
В равсносторонне треугольнике: R; r; S;hВ равност. прямоугольнике R; r; S;h3.
Площади всех четырехугольников.
Ответы
Автор ответа:
0
Решил. Получите, распишитесь (=
Приложения:
Автор ответа:
0
Равностороннего квадрата не бывает. Бывает правильный четырех угольник – квадрат.
Автор ответа:
0
так вы поможете мне ? http://znanija.com/task/5524419
Автор ответа:
0
А прямоугольник?
Автор ответа:
0
В равност. прямоугольнике?
Автор ответа:
0
Запомни: равносторонний прямоугольник – квадрат.
Похожие вопросы
Предмет: Математика,
автор: kryak41
Предмет: Математика,
автор: yasminokshapoklek
Предмет: Русский язык,
автор: janaru10
Предмет: Биология,
автор: oksanakoks
Предмет: Биология,
автор: Танюша1097