Предмет: Математика,
автор: ВладиславСупнев
ПОМОГИТЕ!!!!!!!!!!!!!!!!!!!!!!!!!!!!!!!!!!!!!!!!!!!!!!!!!!!!!!!!!!!!!!!!!!!!!!!!!!!!!!!!!!!!!!!!!!!!!!!!!!!!!!!!!!!!!!!!!!
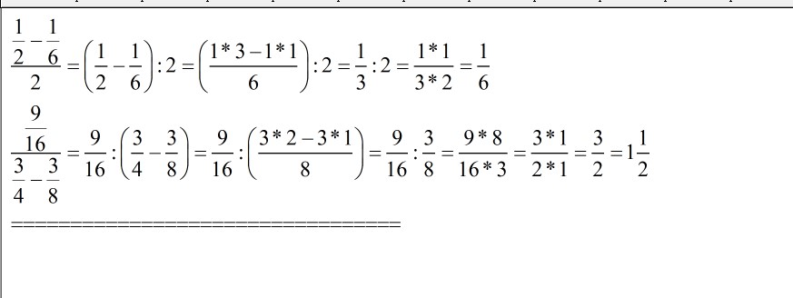
Поймите, это дроби
1/2-1/6
______
2
9/16
______
3/4-3/8
Ответы
Автор ответа:
0
===========================================
Приложения:
Похожие вопросы
Предмет: Математика,
автор: mrbrawler1
Предмет: Алгебра,
автор: Аноним
Предмет: Другие предметы,
автор: BZHR
Предмет: Информатика,
автор: armen98