Предмет: Алгебра, автор: Arina0205

оооочень срочно,помогите!

Приложения:

Ответы

Автор ответа: esmilya
0
Если понравилось решение - нажимай "спасибо" и "лучший" (рядом с кнопкой "спасибо") :)
Приложения:
Автор ответа: esmilya
0
и у Мохинсан такой же ответ.......
Автор ответа: suqias
0
da ti pravilno i ochen okuratno vsyo napisala
Автор ответа: Arina0205
0
Спасибо большое.сможешь помочь с ещё одним номером?http://znanija.com/task/5509764
Автор ответа: mappku
0
действительно 2 это ответ, но не к этому заданию, ну ни как, ну ни здесь
Автор ответа: esmilya
0
спасибо )))))))))
Автор ответа: mappku
0
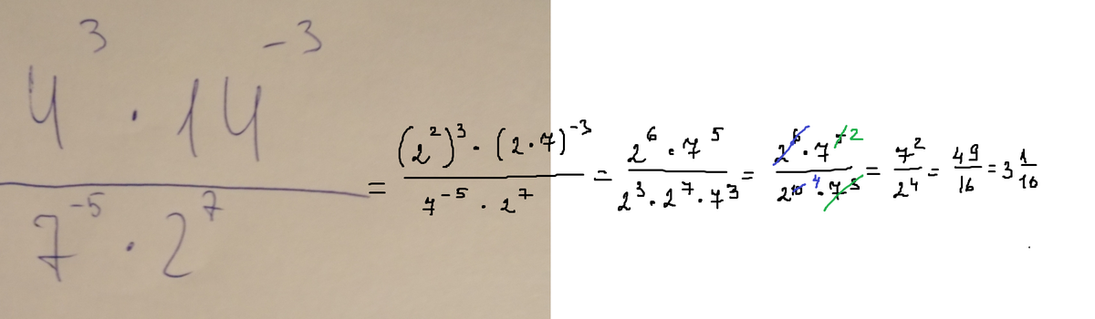
frac{4^3cdot14^{-3}}{7^{-5}cdot2^7}=frac{2^6cdot2^{-3}cdot7^{-3}}{7^{-5}cdot2^7}=2^{6-3-7}cdot7^{-3-(-5)}=2^{-4}cdot7^2=frac{49}{16}=\=frac{48}{16}+frac{1}{16}=3frac{1}{16}
Приложения:
Похожие вопросы