Предмет: Алгебра,
автор: ngrafstvo
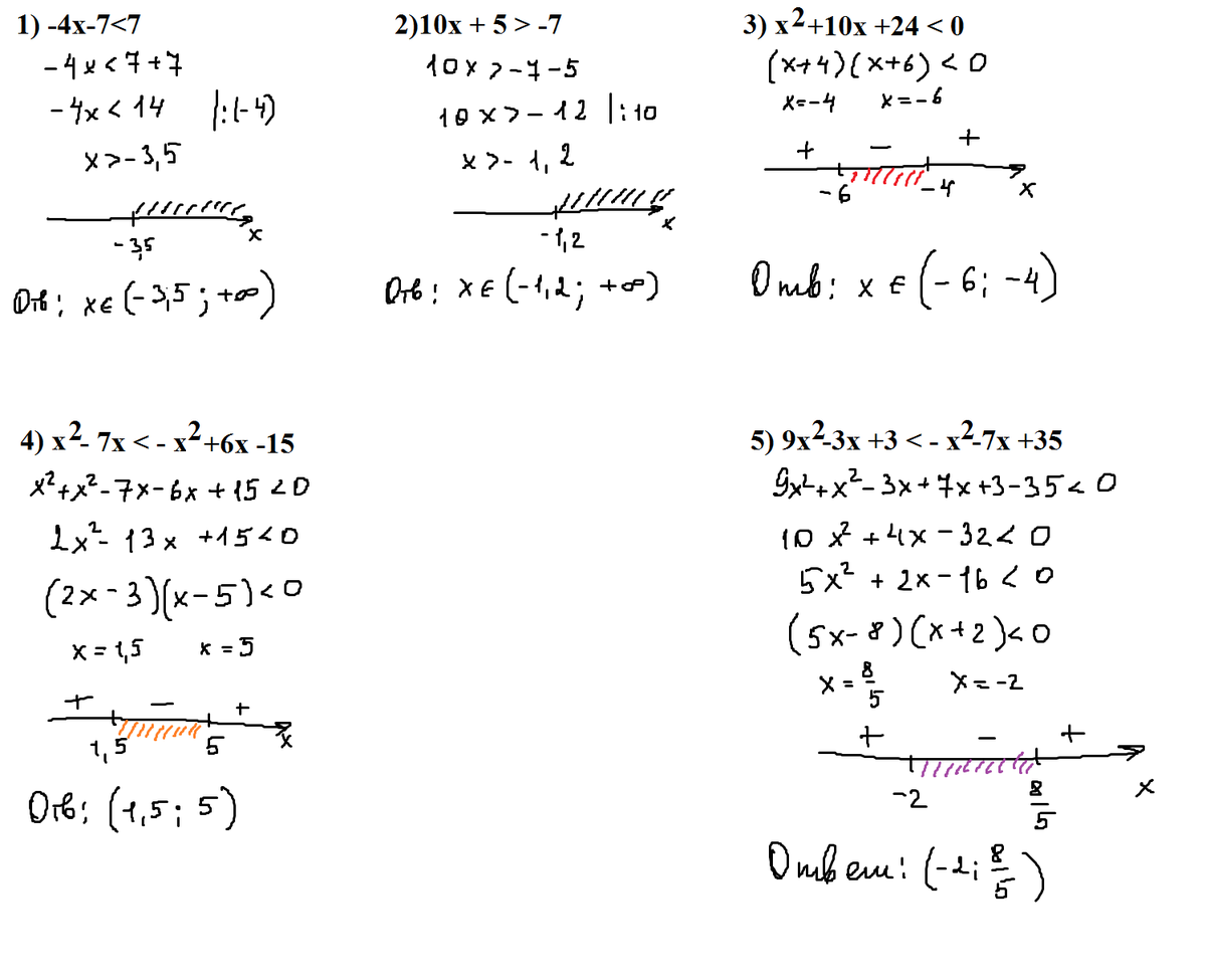
Помогите решить неравенство:1) -4x-7˂7 2)10х + 5 ˃ -7 3) х 2 +10х +24 ˂ 0 4) х 2 - 7х ˂ - х 2 +6х -15 5) 9х 2 -3х +3 ˂ - х 2 -7х +35 Заранее спасибо!
Ответы
Автор ответа:
0
Если понравилось решение - нажимай "спасибо" и "лучший" (рядом с кнопкой "спасибо") :)
Приложения:
Похожие вопросы
Предмет: Русский язык,
автор: egorkamosk
Предмет: Информатика,
автор: kraskakist
Предмет: Алгебра,
автор: axanazai
Предмет: Информатика,
автор: natashkasharova
Предмет: Алгебра,
автор: Пустыня