Предмет: Алгебра,
автор: Vo23lo08ks98
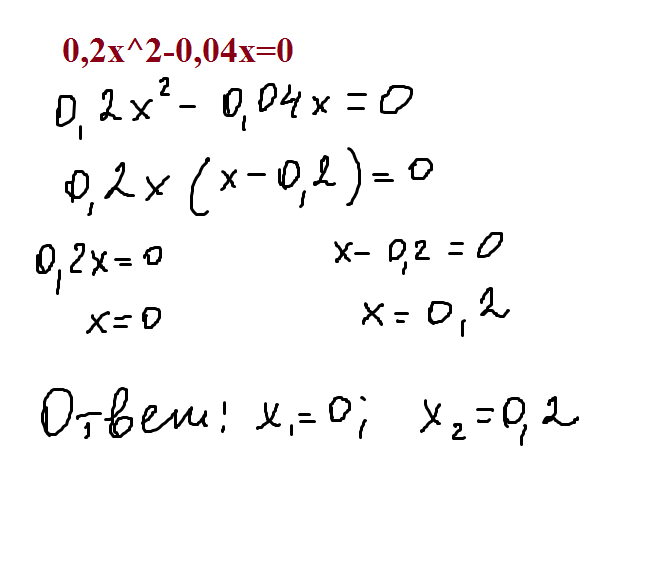
20х^2-14х=0 Решите уравнение
Ответы
Автор ответа:
0
Если понравилось решение - нажимай "спасибо" и "лучший" (рядом с кнопкой "спасибо") :)
Приложения:
Автор ответа:
0
ок
Автор ответа:
0
ну реши пожалуйста
Автор ответа:
0
я прикрепила же второй листочек )))))))))))))))))
Автор ответа:
0
а куда?
Автор ответа:
0
спасибо помоги еще Найдите корни уравнения х^2-3х=28
Похожие вопросы
Предмет: Другие предметы,
автор: Аноним
Предмет: Математика,
автор: danilkarpovic162
Предмет: Литература,
автор: ksandibay
Предмет: Химия,
автор: Аноним