Предмет: Химия,
автор: MrTY
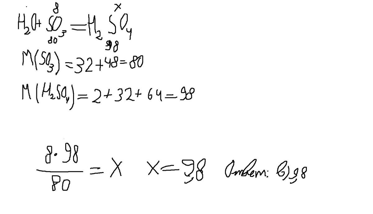
Определите, какую массу серной кислоты H2SO4 можно получить при взаимодействии 8 г вещества SO3 с избытком воды:
а) 4 г
б) 8 г
в) 9,8 г
г) 16 г
Ответы
Автор ответа:
0
))))))))))))))))))))))))))
Приложения:
Похожие вопросы
Предмет: Алгебра,
автор: nagoevamin755
Предмет: Химия,
автор: Аноним
Предмет: Українська мова,
автор: KleeShow
Предмет: Химия,
автор: nikitochka97
Предмет: Алгебра,
автор: АндрейБул