Предмет: Математика,
автор: matvejkurilo7
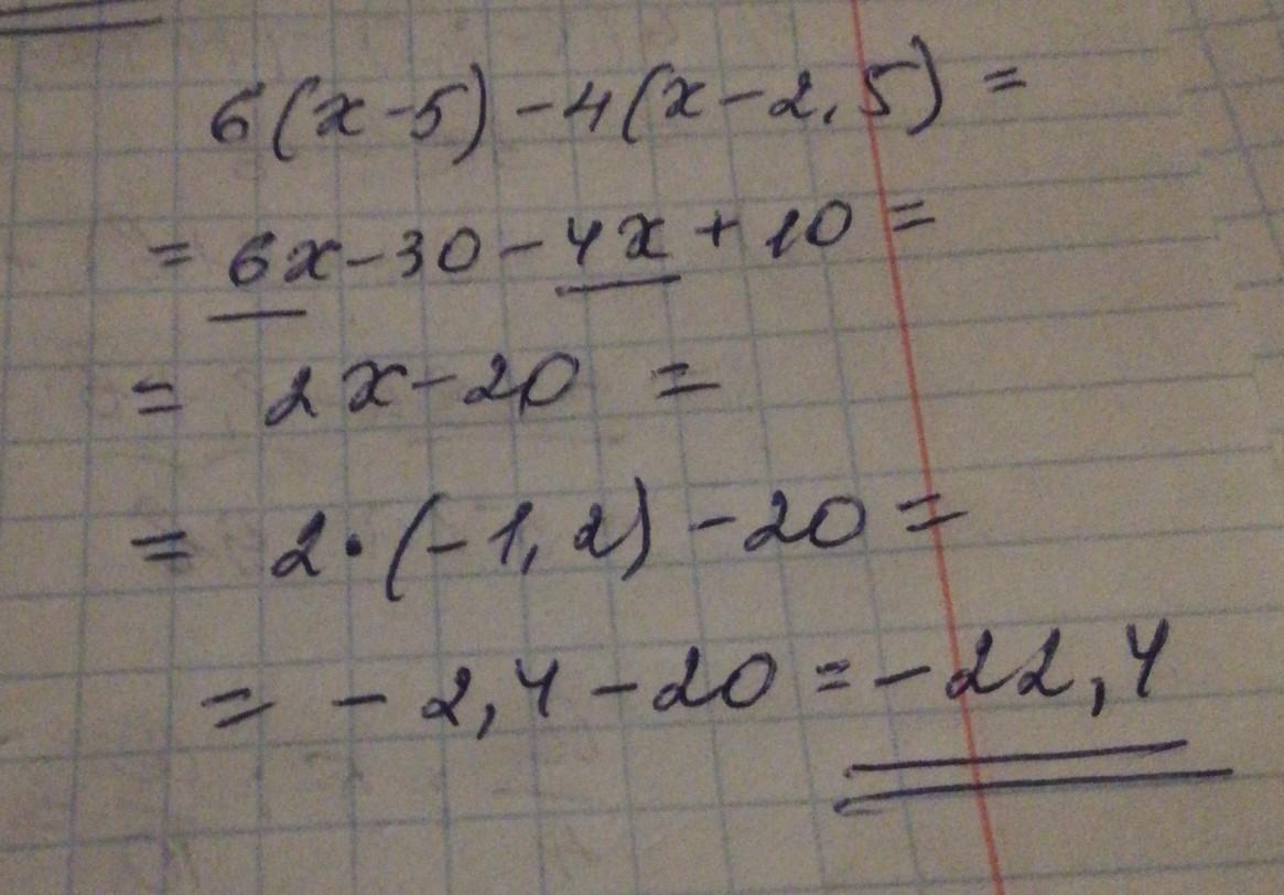
Упростите выражение: 6(х-5) -4(x - 2.5) и вычислите
Ответы
Автор ответа:
1
Ответ:
Смотри решение на фото..
Приложения:
matvejkurilo7:
дя
чему х=???
да
в дискрипторе говорится
напиши чему там их равен и я вычислю
икс=?????
-1,2
Смотри новое фото
СПАСИБО
ты. спас меня
Похожие вопросы
Предмет: Українська мова,
автор: davidenkodara64
Предмет: География,
автор: bekabolatuly223
Предмет: Русский язык,
автор: aknyp
Предмет: Английский язык,
автор: vilchakmargarita59
Предмет: История,
автор: annadymova627