Предмет: Математика,
автор: g07045454
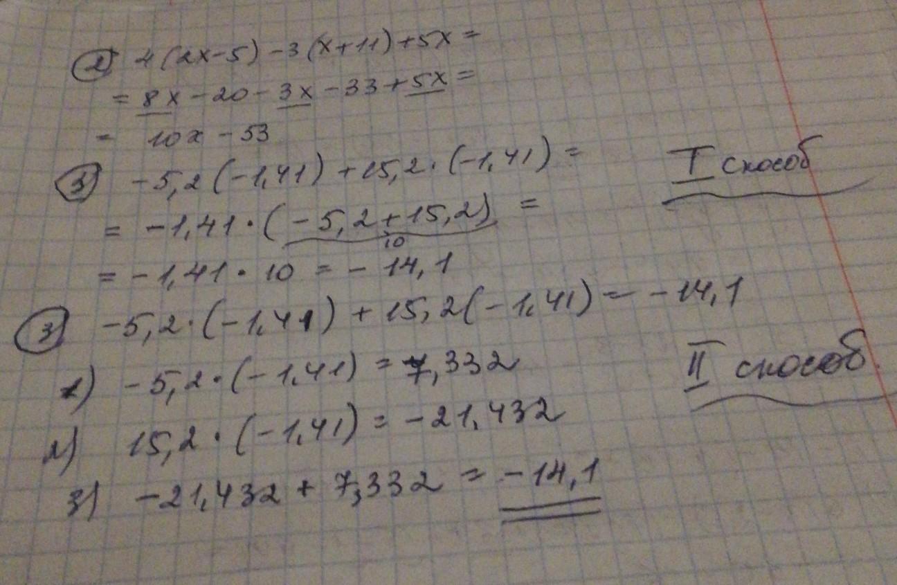
2. Упростите выражение 4(2x - 5) - 3(x + 11) + 5x 3. Применяя свойства сложения и умножения раци -5,2 (-1,41)+ 15,2 • (-1,41)
Ответы
Автор ответа:
0
Ответ:
Смотри решение на фото.
Приложения:
larisaserova53:
2)пример выбирай каким способом вы делаете, тот и напиши
Похожие вопросы
Предмет: Биология,
автор: sujunryskeldieva93
Предмет: Русский язык,
автор: darubainursek
Предмет: Математика,
автор: varvara2001varvara20
Предмет: Биология,
автор: Аноним
Предмет: История,
автор: solmaria1505