Предмет: Математика,
автор: DazaMix
СРОЧНО!!! ДАМ 30 БАЛЛОВ
Приложения:
Ответы
Автор ответа:
1
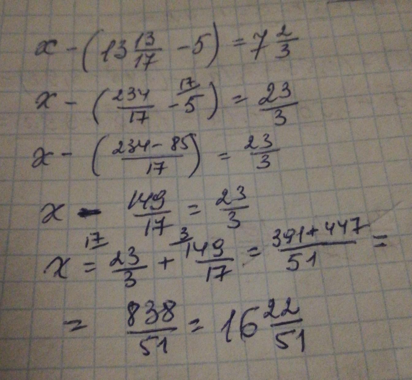
Ответ:
16 22/51
Пошаговое объяснение:
Смотри решение на фото..
Приложения:
Похожие вопросы
Предмет: Английский язык,
автор: batmonhtergel9
Предмет: Обществознание,
автор: spakazibekova
Предмет: Биология,
автор: Kikfords
Предмет: Геометрия,
автор: Muniraa
Предмет: Русский язык,
автор: gaifullinsamat