Предмет: Алгебра, автор: snikonov5

Пожалуйста помогите!

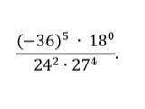
Приложения:

Ответы

Автор ответа: laska0646425
0

Объяснение:

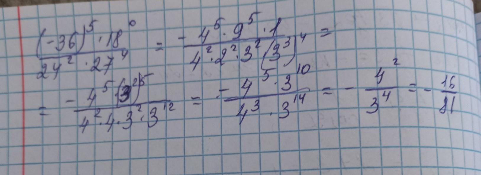
см фото,,,,,,,,,,,,,,,,,,,,,,,,,

Приложения:
Похожие вопросы
Предмет: Русский язык, автор: latifa8702
Прочитайте внимательно текст и выполните задания. Новый год! Удивительный, веселый, радостный праздник всех людей, живущих на планете Земля. У всех народов мира Новый год означает уход завершившегося года и наступление нового Оказывается, многие народ втод в разное время года. У одних он наступает в но на 1 января, у других - в конце января, феврале, марте. Я родилась и живу в Казахстане. Это моя Родина. В нашей республике праздник Новый го встречают дважды. Первая встреча нового года происходит, как и во многих странах, в ночь с 31 декабря на 1 января, когда часы бьют 12. В домах устанавливают ёлки, которые наряжают еще за несколько дней до праздника. Елки украшают разноцветными игрушками, яркими гирляндами ил снежинками. Взрослые и дети одеваются в костюмы разных сказочных героев. Все вместе пок новогодние песни и водят хоровод с Дедом Морозом и Снегурочкой. А еще зажигают бенгальски огни, запускают салюты, которые придают празднику необычайные краски и волшебство По традиции 31 декабря глава Республики Казахстан обращается к народу с праздничны поздравлением, в котором желает всем процветания, мирной жизни, дружбы между народами наше государства. А ведь в нашей республике проживают люди разных национальностей. После того ка часы пробили 12, все поздравляют друг друга с наступившим Новым годом, желают здоров счастья и удачи воду. Во второй раз в Казахстане Новый год приходит 22 марта. Этот праздник называется Науры означает «новый день». Наурыз - древний праздник, возникший более 5000 лет назал. 22 марта день весеннего равноденствия. Этот день люди с нетерпением ждали, потому что в это арс наступает пробуждение природы, все вокруг просыпается ото сна, начинается новый путь - нов круг жизни. В ночь на 22 марта по земле ходит счастье, и поэтому в Наурыз приходит на зем добро и свет. Вот так и объединились два празднования Нового года: один старинный, а другой современный, пришедший в жизнь казахского народа недавно. И оба они означают наступле нового календарного года, а значит - встречу с неизведанным, чудесным, радостным. Задание 3. Выпишите из текста имена числительные (прописью), определите падеж, выделите окончания.
пожалуйста дайте правильный ответ:^
если не знаете не пишите:/​