Предмет: Алгебра,
автор: kolyaishchuk777
Розв'яжіть рівняння (відповідь надайте у вигляді десяткового дробу)
Приложения:
Ответы
Автор ответа:
0
Ответ: -3.25.
Объяснение:
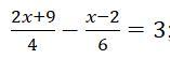
(2x+9)/4 - (x-2)/6 = 3 => НОК(4;6) =12 =>
3(2x+9) - 2(x-2) = 3*12;
6x+18-2x+4=36;
4x = 36-4-18;
4x = 14
12x+54 - 4x+8 = 36;
8x = 36-8-54;
8x = -26;
x=-26/8;
x= -3.25.
Похожие вопросы
Предмет: Химия,
автор: anvarbihajitova
Предмет: История,
автор: divxrivhfrgu
Предмет: Литература,
автор: jkfnmncg9v
Предмет: Английский язык,
автор: people12026
Предмет: Алгебра,
автор: selest10selest