Предмет: Алгебра,
автор: lenyse4ka85
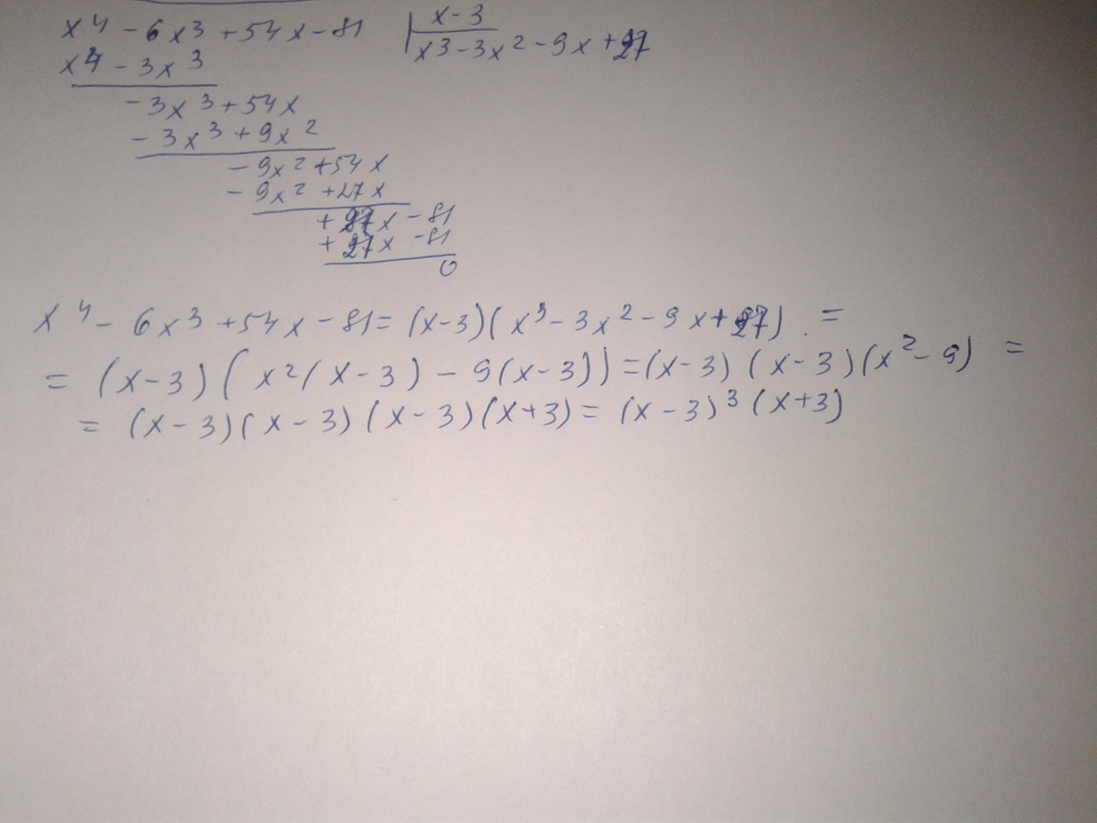
X'4-6x'3+54x-81 Многочлен представить в виде произведения
Ответы
Автор ответа:
0
.........................................................
Приложения:
Автор ответа:
0
спасибо
Похожие вопросы
Предмет: Химия,
автор: slava62623
Предмет: Информатика,
автор: Аноним
Предмет: Математика,
автор: MiLkA050915
Предмет: Химия,
автор: Loki10