Предмет: Математика,
автор: Dichkaxx
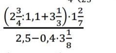
Помогите пожалуйста, очень срочно!!!!
Приложения:
Ответы
Автор ответа:
0
Ответ:
всё поооооооккааааа даси
Приложения:
Dichkaxx:
а решение?
Похожие вопросы
Предмет: Математика,
автор: zavrin
Предмет: Алгебра,
автор: Nastyacebyseva
Предмет: Физика,
автор: maiklkirik61
Предмет: Английский язык,
автор: Аноним
Предмет: Алгебра,
автор: Аноним