Предмет: Алгебра, автор: sultanaliya2009

- 4. Дан квадратный трехчлен: х² - 10x + 21. а) Выделите полный квадрат из квадратного трехчлена; b) Разложите квадратный трехчлен на множители.​

Ответы

Автор ответа: Alnadya
1

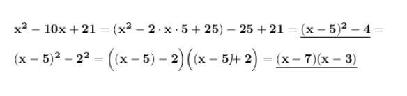
Решение .

Выделить полный квадрат и разложить на множители квадратный трёхчлен , применяя формулу разности квадратов .

\bf x^2-10x+21=(x^2-2\cdot x\cdot 5+25)-25+21=\underline{\bf (x-5)^2-4}=\\\\(x-5)^2-2^2=\Big((x-5)-2\Big)\Big((x-5)+2\Big)=\underline{\bf (x-7)(x-3)}  

Приложения:
Похожие вопросы
Предмет: История, автор: sbutterfly358