Предмет: Алгебра,
автор: kalmuhanova
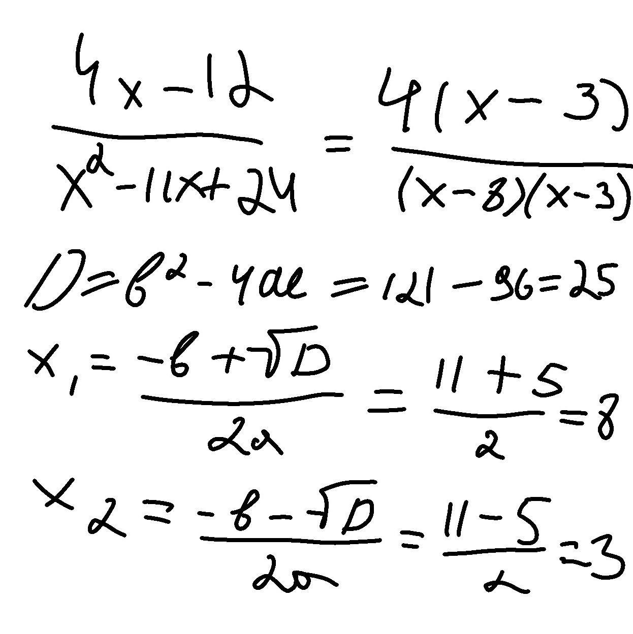
Сократить дробь задание номер 4
СРОЧНОО ДАЮ 50 баллов
Приложения:
Ответы
Автор ответа:
1
Ответ:
ответ 4/х-8 , не вместилось
Приложения:
Похожие вопросы
Предмет: Геометрия,
автор: kokaartemv
Предмет: Алгебра,
автор: konstantinkihtov
Предмет: Литература,
автор: mogirevaelena13
Предмет: Химия,
автор: ShkolyarIdiot
Предмет: Алгебра,
автор: mogij35596