Предмет: Алгебра,
автор: Аноним
дпоможіть будь-ласка якомого швидше якщо можливо
Приложения:
Ответы
Автор ответа:
1
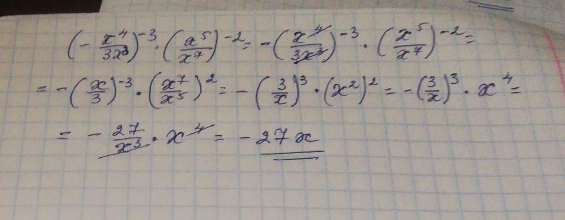
Ответ:
-27x
Объяснение:
решение на фото
Приложения:
Автор ответа:
0
Ответ:
Смотри решение на фото...
Приложения:
Похожие вопросы
Предмет: Химия,
автор: zaychonokdiana
Предмет: Информатика,
автор: ridket7
Предмет: Математика,
автор: Samsa32a32
Предмет: Химия,
автор: nts39013
Предмет: Русский язык,
автор: bylat2403aleks