Предмет: Физика,
автор: midinka4
Из пипетки с диаметром выходного отверстия 2 мм падают капли жидкости. Определите в граммах массу 100 капель, если коэффициент поверхностного натяжения жидкости 0,05 Н/м. Принять g=10 м/с.
Ответы
Автор ответа:
1
Ответ:
Смотри картинки!!! и поставь пожалуйста спасибо и лучший ответ❤
Объяснение:
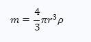
Для вирішення цієї задачі, ми можемо скористатися формулою для маси краплі, яка виражається через радіус краплі, густину рідини та коефіцієнт поверхневого натягу:
За даними з радіус краплі, яка випадає з пипетки діаметром 2 мм, дорівнює 1 мм або 0.001 м. Тому, маса однієї краплі дорівнює:
Отже, маса 100 крапель дорівнює:
Приложения:
Похожие вопросы
Предмет: Українська мова,
автор: Shalimovd42
Предмет: Геометрия,
автор: ppanimau
Предмет: ОБЖ,
автор: 1alinaalina2003
Предмет: Алгебра,
автор: zaebalipisatxyiny
Предмет: Русский язык,
автор: DaShaUwU1270