Предмет: Математика, автор: g02526750

Розв’яжіть диференціальні рівняння:
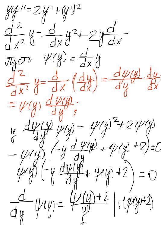
yy"=2y'+(y')^2

От руки пожалуйста!

Приложения:

fizikyadershik68: Здравствуйте, перерешать не смогу.
g02526750: Не сможете, потому что не знаете или под примером уже стоит ответ?
fizikyadershik68: Потому что ответ уже стоит. И нужно подумать на свежую голову.
g02526750: Вы можете без проблем написать мне на телеграм: @Aleeeeks01. Если хотите, могу создать новое задание, на которое можна будет повторно ответить
fizikyadershik68: У меня его нету, я не знаю как регистрироваться.
g02526750: тогда Вы можете отписать сюда, когда появится время. Я сразу же создам пример, на который Вы сможете дать ответ
fizikyadershik68: Хорошо, без проблем.
g02526750: У вас появилось свободное время, сможете сейчас решить?
fizikyadershik68: Вообщем я попробовал решать его как автономное, но получилась ахинея в начальном этапе что я не смог сделать замену функции.
g02526750: Странно...

Ответы

Автор ответа: fizikyadershik68
0

Ответ:

Пошаговое объяснение:

Решения на фотографиях.

С уважением, Владимир.

Приложения:
Похожие вопросы
Предмет: История, автор: knazsadykov87
Предмет: Қазақ тiлi, автор: davlenovaasel07