Предмет: Алгебра,
автор: maeakss
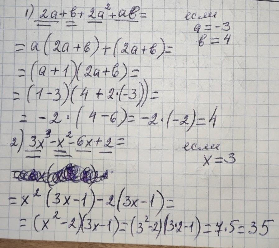
Знайдіть значення виразу:
1) 2a+b+2a²+ab, якщо a = -3, b = 4;
2
2) 3x³ - x² - 6x+2, якщо x== 3
Ответы
Автор ответа:
0
Ответ:
1) 4
2) 2
Объяснение:
Автор ответа:
0
Ответ:
........
Объяснение:
...............
Приложения:
Похожие вопросы
Предмет: Математика,
автор: polinasokorenko360
Предмет: Биология,
автор: sayantulemis
Предмет: Английский язык,
автор: mariyaalex2010
Предмет: Математика,
автор: 28shcherbynaartem
Предмет: Алгебра,
автор: bukinaangel78