Предмет: Алгебра,
автор: privetlalala2801
помогите пожалуйста с решением
Приложения:
Ответы
Автор ответа:
1
Объяснение:
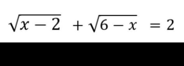
√(x-2)+√(6-x)=2
√(x-2)=2-√(6-x)
(√(x-2))²=(2-√(6-x))²
x-2=4-4√(6-x)+(√(6-x))²
x-2=4-4√(6-x)+6-x
4√(6-x)=10-x-x+2
4√(6-x)=12-2x
2√(6-x)=6-x
(2√(6-х))²=(6-х)²
4(6-x)=(6-x)²
4(6-x)-(6-x)²=0
(6-x)(4-(6-x))=0
(6-x)(4-6+x)=0
(6-x)(x-2)=0
6-x=0 x-2=0
x=6 x=2
проверка:
х1=2
√(2-2)+√(6-2)=2
2=2 - верно
х2=6
√(6-2)+√(6-6)=2
2=2 -верно
ответ: х1=2 ; х2=6
mazelov:
Людмила ксения посмотрите моё задание пожалуйста
Если вы на него ответите то у нас будет хорошая тематическая оценка
я научусь решать такие задания
Похожие вопросы
Предмет: История,
автор: zeksengozintimur
Предмет: Українська мова,
автор: ungureannatasa
Предмет: Қазақ тiлi,
автор: rixard9
Предмет: Химия,
автор: gremiha2006
Предмет: Информатика,
автор: Hshzhxhxj