Предмет: Алгебра, автор: tima149

Решите 2 задания на фото с полным решением, заранее спасибки))) Там все легко, но я заюыл тригонометрию, напомните своим полным решением (Поставлю вам лусший ответ и спасибо)

Приложения:

Ответы

Автор ответа: Аноним
0
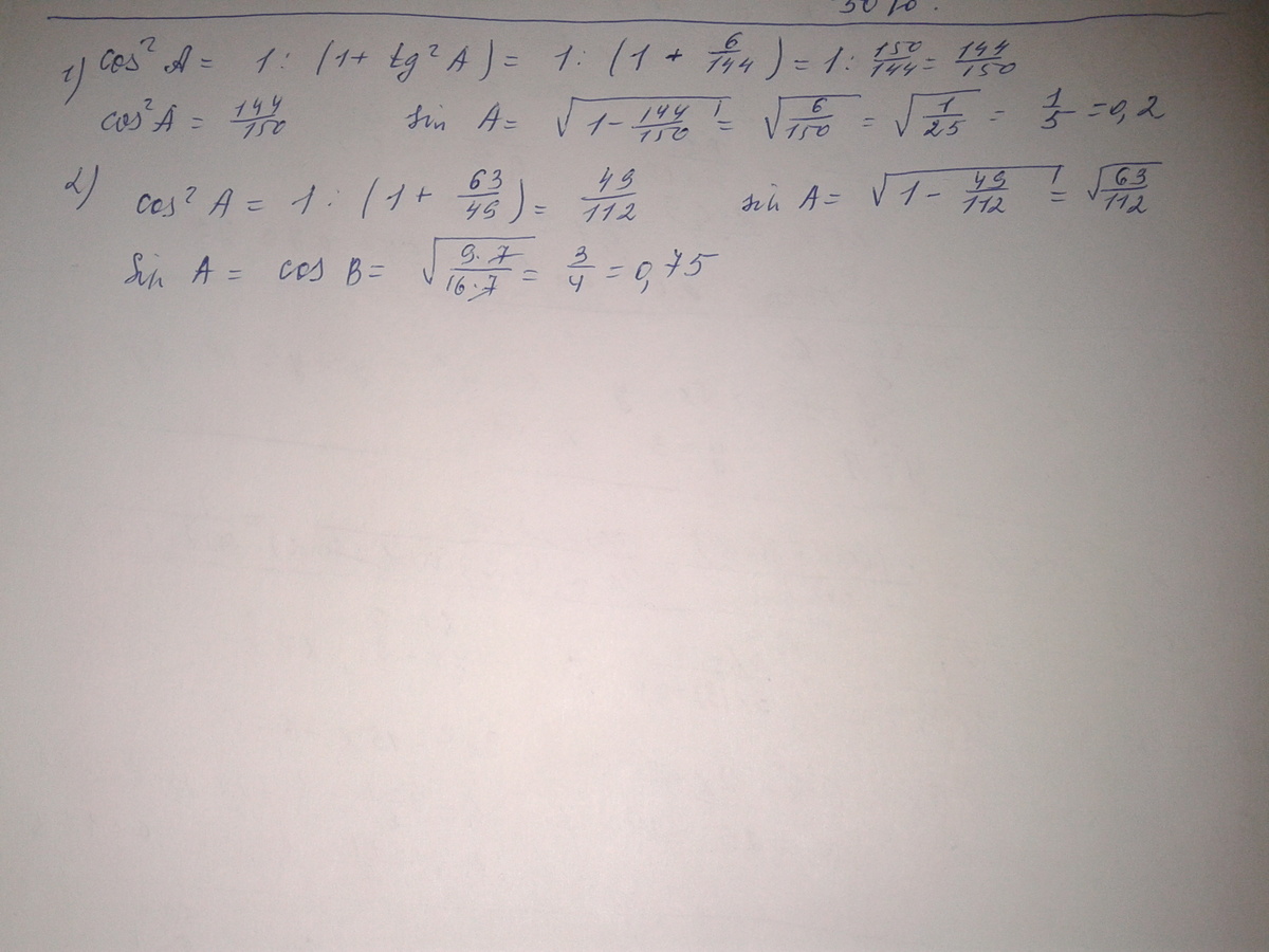
1+tg²A=1/cos²A⇒cos²A=1:(1+tg²A)
Sin²A+cos²A=1⇒sinA=√1-cos²A
SinA=CosB
Это прописные истины.Больше ничем помочь не могу.
Приложения:
Автор ответа: tima149
0
Из вашего ответа мне не чего не понятно...
Автор ответа: LenaraT
0
1)BC=корень из 6
AC=12
AB= корень из (6+144)=150=5 корней из 6
sinA= корень из 6/5 корней из 6=1/5
2)BC=3 корня из 7
AC=7
AB=корень из (63+49)=корень из 112
cosB=3 корня из 7/корень из 112 3 корня из 7/ 4 корня из 7=3/4


Приложения:
Автор ответа: LenaraT
0
все? или ещё что-то написать?
Автор ответа: tima149
0
sinA= корень из 6/5 корней из 6=5, и как ты тут получила 5??
Автор ответа: tima149
0
распиши если не лень)
Автор ответа: LenaraT
0
все
Автор ответа: tima149
0
огромное спасибо
Похожие вопросы
Предмет: Математика, автор: robloksa822
Предмет: Биология, автор: Gers

11,В корнях растений отсутствует ткань

1)                образовательная

2)                покровная

3)                проводящая

4)                фотосинтезирующая

12, Плоды образуются у растений отдела

1)                    Голосеменные

2)                    Плауновидные

3)                    Покрытосеменные

4)                    Папоротниковидные

13, Какую функцию выполняют органы бычьего цепня, обозначенные на рисунке вопросительным знаком?(во вложении)

1)                    выделение веществ, защищающих тело от переваривания

2)                    прикрепление червя к стенке кишечника хозяина

3)                    поглощение частиц пищи и их переваривание

4)                    всасывание питательных веществ из кишечника хозяина 14, Об усложнении кровеносной системы млекопитающих, по сравнению с пресмыкающимися, свидетельствует

1)                    образование неполной перегородки в желудочке сердца

2)                    полное разделение венозной и артериальной крови

3)                    появление трёхкамерного сердца

4)                    наличие двух предсердий в сердце

15, В организме человека освобождение крови от продуктов обмена веществ осуществляется в

1)                    почечной лоханке

2)                    кишечнике

3)                    нефроне почек

4)                    мочеточниках 16, Работоспособность мышц быстрее восстанавливается при

1)                    увеличении частоты их сокращений

2)                    чередовании их сокращения и расслабления

3)                    уменьшении скорости их сокращения

4)                    увеличении нагрузки

, Способностью поглощать и переваривать чужеродные частицы, попавшие в организм, обладают

1)      эритроциты 2) гормоны                        3)     тромбоциты       4)    фагоциты


18, К железам внутренней секреции относят

1)                    слюнные железы и железы желудка

2)                    гипофиз и щитовидную железу

3)                    потовые железы и железы кишечника

4)         слёзные железы и    печень 

19, Какое из нижеприведённых значений кровяного давления у человека можно считать признаком гипертонии?

1)                    170/100 мм рт. ст.

2)                    120/70 мм рт. ст.

3)                    110/60 мм рт. ст.

4)                    90/50 мм рт. ст. 20, Примером географического видообразования может служить формирование видов

1)                    вьюрков, обитающих на Галапагосских островах

2)                    синиц, питающихся разными кормами на общей территории

3)                    воробьёв, обитающих в разных районах города

4)                    окуней, обитающих на разной глубине водоёма