Предмет: Алгебра,
автор: Khjc7
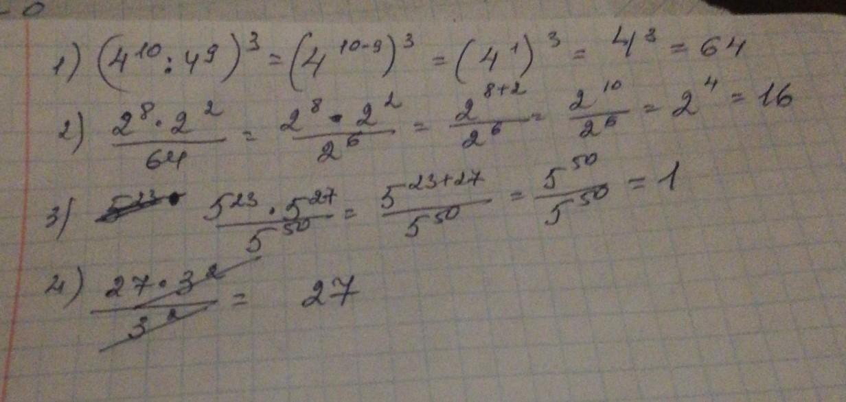
(4¹⁰:4⁹)³
2⁸×2²/64
5²³×5²⁷/5⁵⁰
27×3²/3²
Ответы
Автор ответа:
0
Ответ:
Смотри решение на фото...
Приложения:
Похожие вопросы
Предмет: Химия,
автор: dedrabcol
Предмет: География,
автор: timofijkucmienko
Предмет: Қазақ тiлi,
автор: Аноним
Предмет: Алгебра,
автор: artem7074
Предмет: Английский язык,
автор: kdmkaa19