Предмет: Алгебра,
автор: mahsutovemir684
3. Решить квадратное уравнение при помощи т Виета x2 + 6x + 5 = 0 x2 – 8x – 9 = 0 x2+3x-10 = 0
Ответы
Автор ответа:
0
Объяснение:
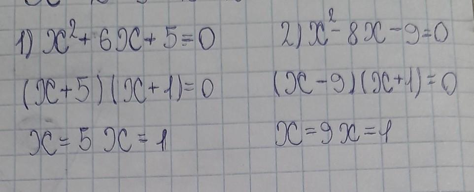
1) x²+6x+5=0
(x+5)(x+1)=0
x=-5 x=-1
2) x²-8x-9=0
(x-9)(x+1)=0
x=9 x=-1
3) x²+3x-10=0
(x+5)(x-2)=0
x=-5 x=2
Автор ответа:
4
Ответ:
3) х²+3х-10=0
(х+5)(х-2)=0
х=5х=2
Объяснение:
3-ий пример забыл)
Приложения:
Похожие вопросы
Предмет: Алгебра,
автор: sonyasssssjjs
Предмет: История,
автор: bbbb661
Предмет: Українська література,
автор: Balera2a
Предмет: География,
автор: Irysik46733
Предмет: Химия,
автор: Ggggggggggggg0