Предмет: Математика, автор: eeugenia1981

Помогите срочно! Даю 30 баллов! Это самостоятельная! Умоляю быстрее!

Приложения:

eeugenia1981: Помогите

Ответы

Автор ответа: grozaiflash
1
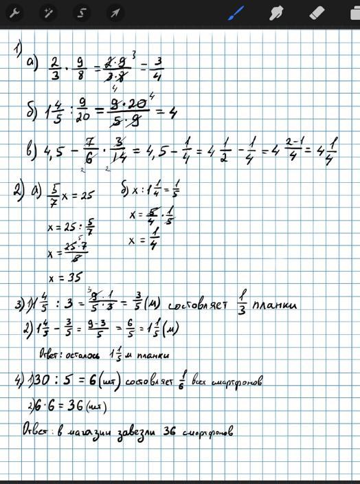
Решение на фото,если нужно произведи проверку в уравнениях
Приложения:

eeugenia1981: Спасибо
Похожие вопросы
Предмет: Право, автор: hotinalina446
• Взаємозв'язок людини і д Громадянка Застережлива М. звернулася з листом до на- чальника обласного управління внутрішніх справ, у якому вказала, що громадянин Гамірний В., який проживає в сусід- ній квартирі, постійно (і вдень, і вночі) вмикає музику на повну гучність, часто запрошує гостей, усі ці вечірки закінчу- ються сварками. Застережлива М. має хворого чоловіка і двох неповнолітніх дітей. На її прохання припинити таку поведінку Гамірний В. не реагує. Дільничний офіцер поліції заявляє, що в нього немає часу займатися такими «дрібницями». Запитання для аналізу
1. Чи правильно адресоване звернення Застережливої М.?
2. Визначте вид звернення Застережливої М.
3. Чи має це звернення встановлені законодавством пільги при розгляді? 4. Протягом якого строку необхідно розглянути звернення Застережливої М.?
5. Чи потребує вказане звернення додаткового вивчення?​
Предмет: Қазақ тiлi, автор: malkovdav