Предмет: Алгебра,
автор: KorostylevEgor5
СРОЧНО ДАЮ 100 БАЛЛОВ!!!!!!!
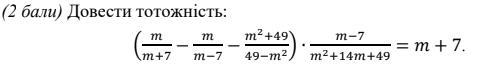
Задание на картинке
Приложения:
Ответы
Автор ответа:
1
Ответ:
Тотожність довести неможливо або в прикладі є помилка і замість множення повино бути ділення. Якщо в приклалі є помилка, то вот відповідь
Приложения:
KorostylevEgor5:
боже тф меня спасла я уже везде эт узадачу упоминал и матвей и ChatGPT, Bard, Bing и знания фотоматч
Будь ласка)
Похожие вопросы
Предмет: Українська мова,
автор: matusha160820111
Предмет: Математика,
автор: fertikovarseniy
Предмет: Математика,
автор: pasausenko44456
Предмет: Биология,
автор: stupidnao28
Предмет: Геометрия,
автор: tkacenkonazar487