Предмет: Алгебра,
автор: nikolayevfedor
ДАЮ 25 БАЛЛОВ! ХЭЛП МИ ПЛИЗ (хто напише хз думай сам, тому кидаю жалобу)
Приложения:
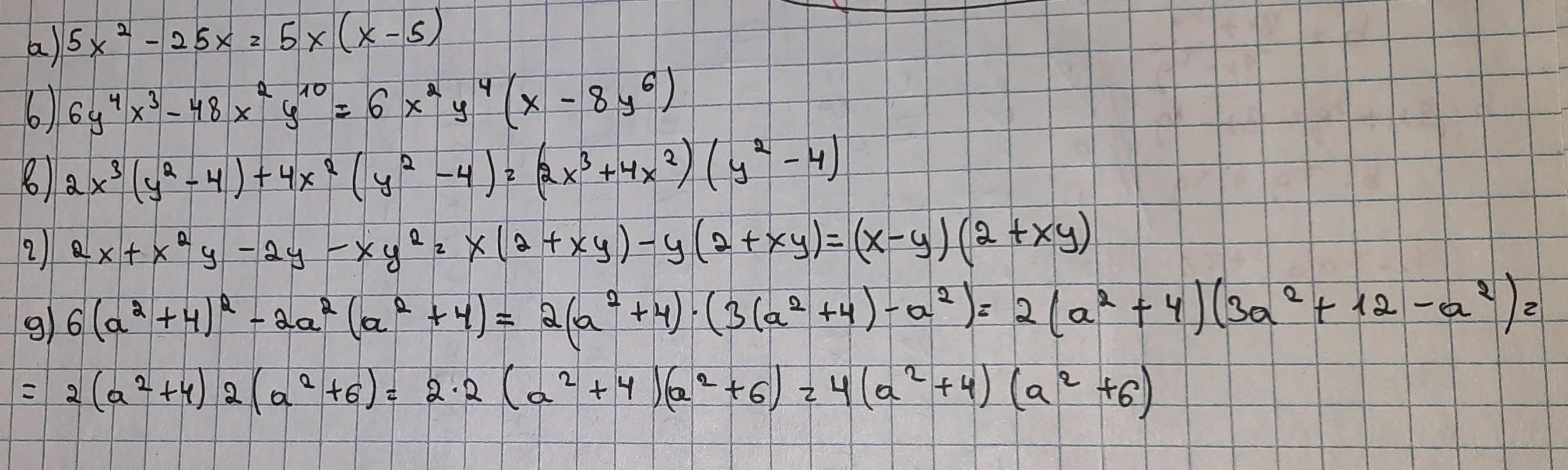
Ответы
Автор ответа:
1
Объяснение:
2 не поняла
тт:hillisei
Приложения:
Похожие вопросы
Предмет: Геометрия,
автор: bilikk374
Предмет: Литература,
автор: lenalena4838272
Предмет: История,
автор: xyvx
Предмет: Математика,
автор: polinakim127
Предмет: География,
автор: andreuyotube