Предмет: Алгебра,
автор: Nastya09201
ДОПОМОЖІТЬ БУДЬЛАСКА ДАЮ 30 БАЛІВ СРОЧНОООО!!!!!!
Приложения:
Ответы
Автор ответа:
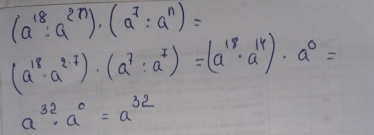
1
Объяснение:
користуйся, гарного дня
Приложения:
Nastya09201:
дякую
дякую
Похожие вопросы
Предмет: Математика,
автор: Аноним
Предмет: Математика,
автор: iliazzzz12
Предмет: Другие предметы,
автор: f2716484
Предмет: Математика,
автор: Аноним
Предмет: Литература,
автор: kurininnikita