Предмет: Алгебра, автор: uro1rvhx

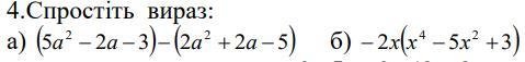
Спростіть вираз:......................................

Приложения:

Ответы

Автор ответа: Gark3001
0

a)

(5 {a}^{2}  - 2a - 3) - (2 {a}^{2}  + 2a - 5) = 3 {a}^{2}  - 4a + 2

b)

 - 2x( {x}^{4} - 5 {x}^{2}  + 3) =  - 2 {x}^{5} + 10 {x}^{3} - 6x

Похожие вопросы
Предмет: История, автор: sobless
Предмет: История, автор: Аноним
Предмет: Обществознание, автор: Аноним