Предмет: Математика, автор: yuriiromaniuk2006

Допоможіть прошу дуже потрібно

Приложения:

Ответы

Автор ответа: NNNLLL54
1

Ответ:

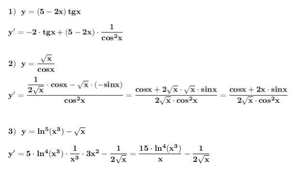
Найти производные функций . Применяем правила дифференцирования и таблицу производных .

\bf 1)\ \ y=(5-2x)\, tgx\\\\y'=-2\cdot tgx+(5-2x)\cdot \dfrac{1}{cos^2x}\\\\\\2)\ \ y=\dfrac{\sqrt{x}}{cosx}\\\\y'=\dfrac{\dfrac{1}{2\sqrt{x}}\cdot cosx-\sqrt{x}\cdot (-sinx)}{cos^2x}=\dfrac{cosx+2\sqrt{x}\cdot \sqrt{x}\cdot sinx}{2\sqrt{x}\cdot cos^2x}=\dfrac{cosx+2x\cdot sinx}{2\sqrt{x}\cdot cos^2x}  

\bf 3)\ \ y=ln^5(x^3)-\sqrt{x}\\\\y'=5\cdot ln^4(x^3)\cdot \dfrac{1}{x^3}\cdot 3x^2-\dfrac{1}{2\sqrt{x}}=\dfrac{15\cdot ln^4(x^3)}{x}-\dfrac{1}{2\sqrt{x}}\\\\\\4)\ \ y=arccos\sqrt{3x+1}\\\\y'=-\dfrac{1}{\sqrt{1-(3x+1)^2}}\cdot \dfrac{1}{2\sqrt{3x+1}}\cdot 3  

\bf \displaystyle 5)\ \ y=x\cdot \sqrt{\frac{1+x^2}{1-x}}\\\\y'=\sqrt{\frac{1+x^2}{1-x}}+x\cdot \frac{1}{2\sqrt{\dfrac{1+x^2}{1-x}}}\cdot \frac{2x\, (1-x)-(1+x^2)\cdot (-1)}{(1-x)^2}=\\\\\\=\sqrt{\frac{1+x^2}{1-x}}+\frac{x}{2}\cdot \sqrt{\frac{1-x}{1+x^2}}\cdot\frac{2x-x^2+1}{(1-x)^2}    

Приложения:
Похожие вопросы
Предмет: История, автор: vladresivskij
Предмет: Литература, автор: danatmidreev
Мне надо пересказать текст, ток он большой, сократите его, но так чтоб осталось ГЛАВНАЯ ТЕМА ТЕКСТА
1
Избавься от ограничений

ПОПРОБУЙ ЗНАНИЯ ПЛЮС СЕГОДНЯ
zlyubasilSamg
zlyubasilSamg
15.10.2015
Английский язык
5 - 9 классы
+10 б.
Ответ дан
ПОМОГИТЕ ПЕРЕВЕСТИ ТЕКСТ СРОЧНОООО
Dealing with conflict.

Losing friends is about as easy as making friends if you don't know how to deal with anger and conflict. Conflict is part of everyone's life. It will show up at school, at work and athome. Ifs OK to feel angry, frustrated, annoyed, disappointed or sad. These feelings are natural, but it's how you deal with it that makes the difference. Some people scream, shout, swear, call people names, try to get back at or even hit the person who has hurt them. Others do their best to keep away from disagreements, and very few deal with conflicts successfully.

Resolving conflict is a step by step process. Before you start discussing the problem, cool off, count to 10, take a deep breath and imagine a relaxing place. Then, say what's really bothering you. While doing that, watch how you express yourself. Don't blame or accuse. Share how you feel by using "I" statements. For example, don't say "You are always bossing me around," but "I feel frustrated because you don't pay attention to what I think."

You want people to hear your opinion so make sure you practice what you preach2. Listen carefully to the other person and accept that he or she might see the problem in a different way. Be flexible and open-minded, willing to apologise, forgive and move.​