Предмет: Алгебра, автор: ev5667

ПОМОГИТЕ ПОЖАЛУЙСТА С АЛГЕБРОЙ

Приложения:

Ответы

Автор ответа: homasphoenix
1

Объяснение:

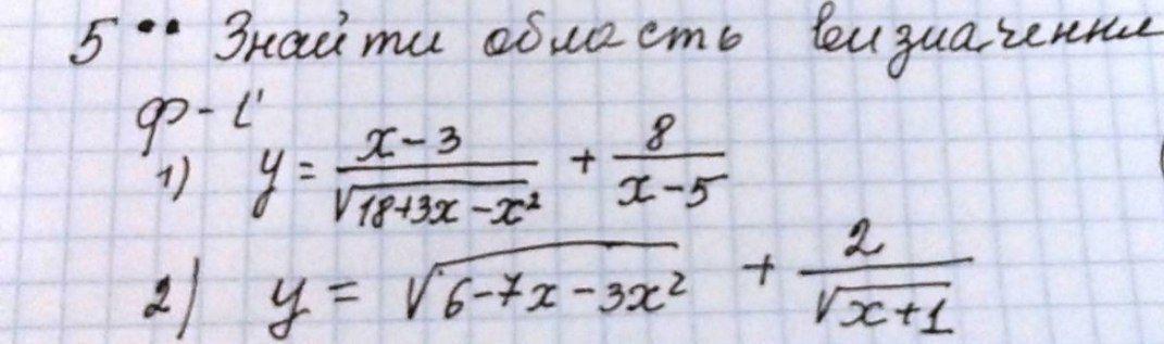
1) y(x) = \frac{x-3}{\sqrt{18+3x-x^2} } +\frac{8}{x-5}. Область визначення функції - це ті значення x при яких значення функції має зміст. Знаменник дробу не дорівнює 0. Отже, маємо систему:

\left \{ {{18+3x-x^2\neq 0} \atop {x-5\neq 0}} \right. \\    \left \{ {{(6-x)(x+3)\neq 0} \atop {x-5\neq 0}} \right. \\

Звідси, x≠-3,5,6

Також підкореневий вираз завжди більше нуля:

(6-x)(x+1) > 0

Це парабола з вітками вниз. Отже  додатніх значень вона набуває на проміжку (-∞;-1) ∪ (-1;6) ∪ (6;+∞). Об'єднаймо всі ці значення в один проміжок:

x ∈ (-∞;-1) ∪ (-1;-3) ∪ (-3;5) ∪ (5;6) ∪ (6;+∞)

2) y(x) = \sqrt{6-7x-3x^2}  + \frac{2}{\sqrt{x+1} }

Знаменник дробу не дорівнює нулю. Тоді x≠-1. Підкореневий вираз завжди більше або дорівнює нулю: (в іншому випадку не дорівнює тому не включаючи)

\left \{ {{6-7x-3x^2\geq 0} \atop {x+1 > 0}} \right.    \left \{ {{(2-3x)(x+3)\geq 0} \atop {x > -1}} \right.

Розв'язком системи нерівностей буде проміжок (-1;\frac{2}{3}).

Отже, загальним проміжком області визначення функції буде коли

x ∈ (-1;\frac{2}{3})

Похожие вопросы
Предмет: Литература, автор: edgar56999
Предмет: Алгебра, автор: sofiagribochekg