Предмет: Алгебра,
автор: stanevskaaliza
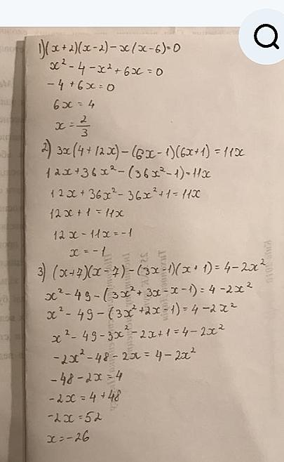
Розв'яжіть рівняння:
Приложения:
Ответы
Автор ответа:
0
Ответ:
Вот,проверено мною))
Объяснение:
Приложения:
Похожие вопросы
Предмет: Алгебра,
автор: lukancuk276
Предмет: Другие предметы,
автор: samka1978s
Предмет: История,
автор: akhmed955
Предмет: Қазақ тiлi,
автор: amanbekova98
Предмет: Русский язык,
автор: stanislavakostina08