Предмет: Алгебра, автор: lenatukalo123

Допоможіть розв'язати (з поясненнями)

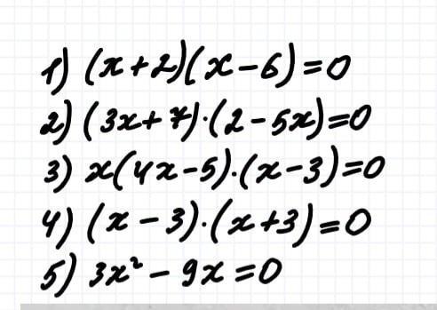
Приложения:

Ответы

Автор ответа: homasphoenix
0

Объяснение:

Для всіх рівнянь нижче, будемо користуватися правилом: "Добуток дорівнює нулю , коли хоча б один із множників дорівнює 0"

1) (x+2)(x-6) = 0

\left[\begin{array}{cc}x+2=0\\x-6=0\end     \left[\begin{array}{cc}x=-2\\x=6\end

2) (3x+7)(2-5x)=0

\left[\begin{array}{cc}3x+7=0\\2-5x=0\end    \left[\begin{array}{cc}3x=-7\\-5x=-2\end    \left[\begin{array}{cc}x=-\frac{7}{3} \\x=\frac{2}{5} \end

3) x(4x-5)(x-3) = 0

\left[\begin{array}{ccc}x=0\\4x-5=0\\x-3=0\end    \left[\begin{array}{ccc}x=0\\4x=5\\x=3\end    \left[\begin{array}{ccc}x=0\\x=\frac{5}{4} \\x=3\end

4) (x-3)(x+3) = 0

\left[\begin{array}{cc}x-3=0\\x+3=0\end    \left[\begin{array}{cc}x=3\\x=-3\end

5) 3x^2-9x=0

3x(x-3)=0

\left[\begin{array}{cc}3x=0\\x-3=0\end    \left[\begin{array}{cc}x=0\\x=3\end

Похожие вопросы
Предмет: Литература, автор: gool228
7. Какие изобразительно-выразительные средства использованы соответственно в следующих строках:
Рояль был весь раскрыт, и струны в нем дрожали,
Как и сердца у нас за песнею твоей;
И много лет прошло, томительных и скучных ?
А) метафора, сравнение D) метафора, эпитет
В) сравнение, эпитет Е) метафора, символ
С) символ, эпитет

8. Лирический герой какого стихотворения заявляет:
И так хотелось жить, чтоб, звука не роняя,
Тебя любить, обнять и плакать над тобой.
А) «Я скован, я пленен, с тех пор как увидал тебя»
В) «Ветер нежный, окрыленный, благовестник красоты»
С) «Сияла ночь. Луной был полон сад»
D) «Я выглянул как-то случайно в окно»
Е) «Я не унижусь пред тобою»

9. Что лежит в основе стихотворения А.А.Фета «Сияла ночь. Луной был полон сад...» ?
А) безответная любовь
В) музыкальный вечер в Санкт-Петербурге
С) воспоминания о былой любви
D) любовь к своей супруге
Е) процесс творчества

10. Укажите соответствие:
1. Сердце поэта истерзано стрелами любви, он вновь попал в плен к возлюбленной, увидав ее красоту.
2. Чувства лирического героя воскресли с новой силой, душа заново
ожила, после долгого душевного кризиса для него вновь явилось вдохновение. Показано становление характера
3. Лирический герой, возможно, был бы награжден бессмертием за
свой «дар чудесный», но он испытывает такое же чувство разочарования,
как все смертные в этом мире.
а. «Я помню чудное мгновенье»
b. «Я скован, я пленен, с тех пор как увидал тебя»
c. «Я не унижусь пред тобою»
A) 1-с; 2-b; 3-a D) 1-а; 2-b; 3-c
B) 1-b; 2-а; 3-c E) 1-a; 2-c; 3-b
C) l-c; 2-a; 3-b
Предмет: Математика, автор: fotimatolipov
Предмет: Английский язык, автор: tttuposamokater