Предмет: Алгебра,
автор: kimmila2010
Помогите пж срочно нужнооо
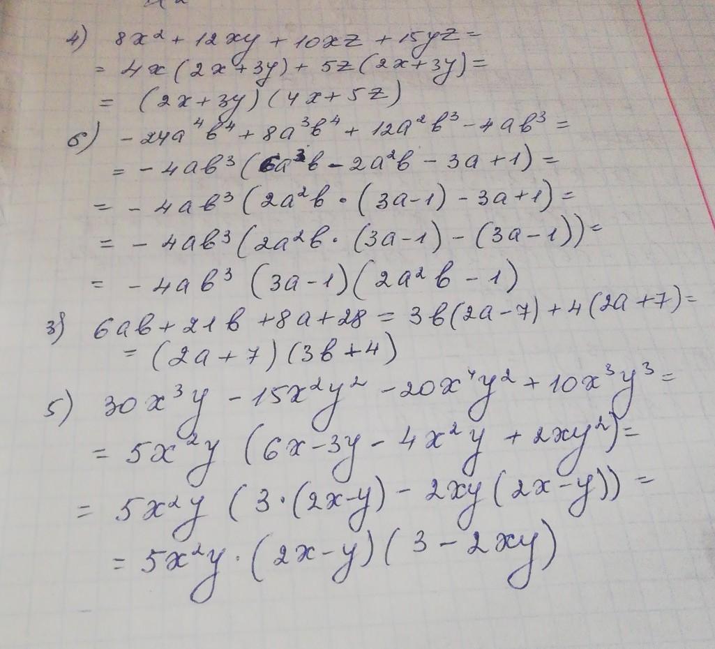
4) 8x ^ 2 + 12xy + 10xz + 15yz
6) - 24a ^ 4 b ^ 4 + 8a ^ 3 b ^ 4 + 12a ^ 2 b ^ 3 - 4a b ^ 3
3) 6ab + 21b + 8a + 28
5) 30x ^ 3 y - 15x ^ 2 y ^ 2 - 20x ^ 4 y ^ 2 + 10x ^ 3 y ^ 3
tatsach:
Что делать
Просто решить
Там не указано
Не может быть
Может вынести общий множитель за скобки или ч виде произведения
Ответы
Автор ответа:
3
Ответ:
Смотри решение на фото..
Приложения:
Спс
Похожие вопросы
Предмет: Геометрия,
автор: favorituzer467
Предмет: История,
автор: aminaizbanova01
Предмет: Литература,
автор: isa7773
Предмет: Физика,
автор: Аноним
Предмет: Химия,
автор: Аноним