Предмет: Математика,
автор: rugudziken462
СРОЧНО У К.Р ДАМ 30 БАЛЛОВ!!!!
Приложения:
Ответы
Автор ответа:
1
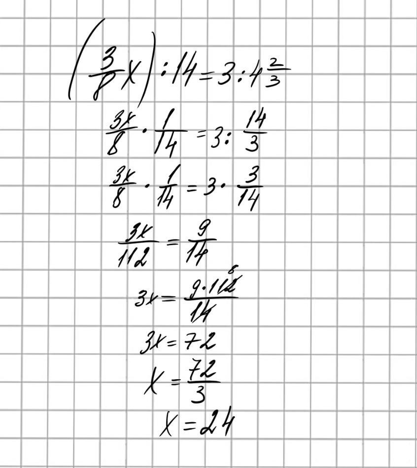
Ответ:………………
Пошаговое объяснение:
Приложения:
Похожие вопросы
Предмет: Алгебра,
автор: sinacenkosofia
Предмет: Математика,
автор: beshimovasaruar
Предмет: География,
автор: dipoplavsk
Предмет: Математика,
автор: aldiarsadyrbaev9
Предмет: Математика,
автор: Аноним