Предмет: Алгебра,
автор: Аноним
ПОМОГИТЕ СРОЧНО!!!! ДАЮ 100 баллов это дз!! Помогите ЕСЛИ до завтра не здам меня УБЬЮТ
Приложения:
Ответы
Автор ответа:
1
Объяснение:
користуйся, гарного дня
Приложения:
Автор ответа:
1
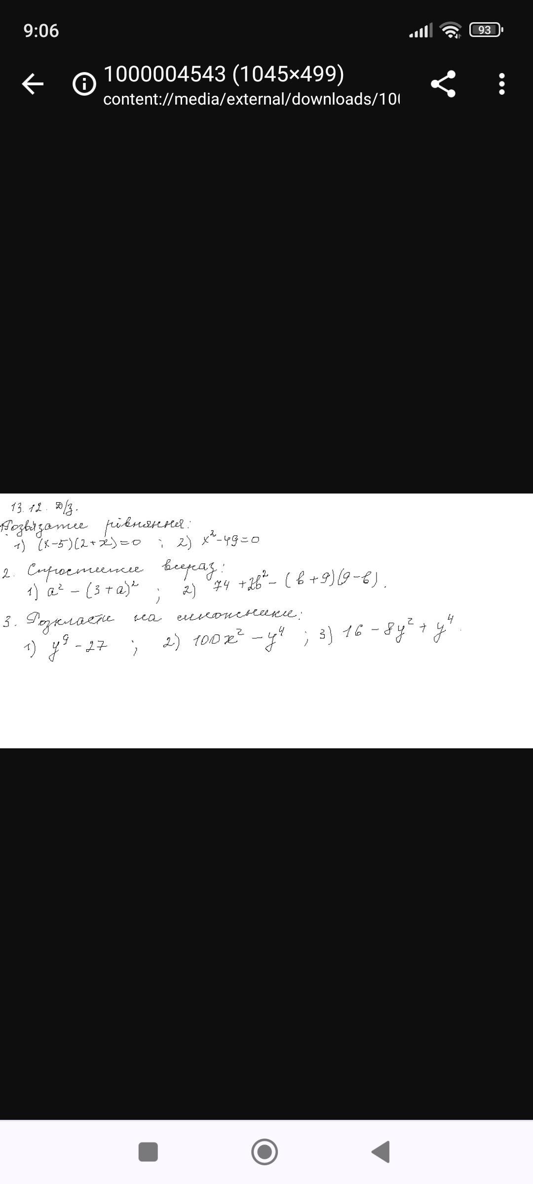
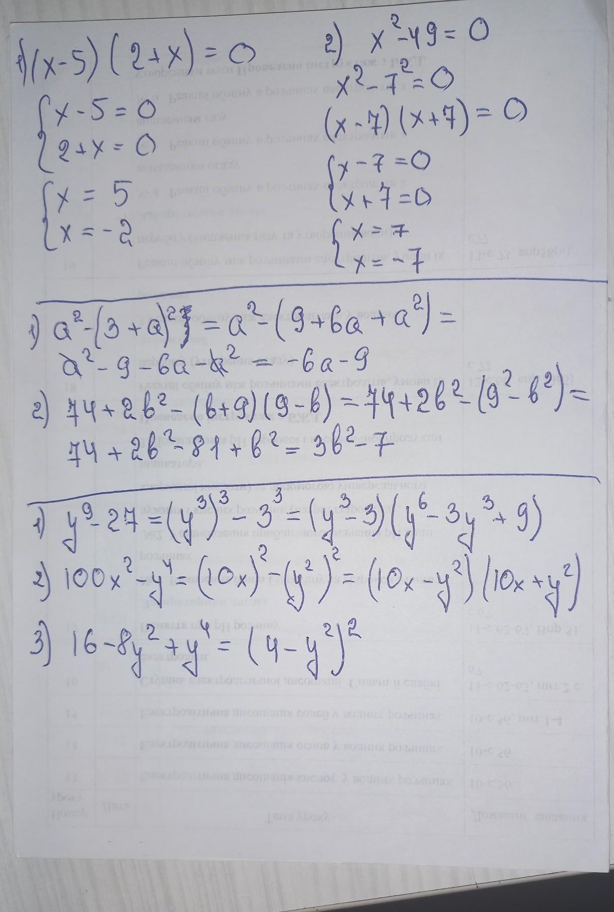
Розвязання рівняння:
1)(x-5)(2+x)=0
З цього виходить що якесь значення із скобок дорівнює нулю
х1 = 5 (перша скобка)
x2 = -2 (друга скобка)
2) x2 - 49 = 0
x2 = 49
x = 7 або -7
Спростити вираз:
1) a^2 - (3 + a)^2 = -9 - a^2 + a^2 = -9
2) 74 + 2b^2 - (b + 9)(9 - b) = 74 + 2b^2 - (81 - b) = 74 + 2b^2 - 81 + b^2 = -7 + 3b^2
Розкласти на множники:
1)y^9 - 27 = (y^3)^3 - 3^3 = (y^3 - 3) * (y^6 + 3y^3 + 9)
2)100x^2 - y^4 = (10x - y^2) * (10x + y^2)
3)16 - 8y^2 + y^4 = (4 - y^2)^2 = ((2 - y) * (2 + y))^2
Похожие вопросы
Предмет: Українська мова,
автор: Аноним
Предмет: Физика,
автор: adolfgrizman8
Предмет: Физика,
автор: zaruttimur
Предмет: Окружающий мир,
автор: Аноним
Предмет: Математика,
автор: twitchqb