Предмет: Алгебра,
автор: lerasiklol
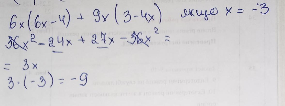
Спростіть вираз і знайдіть його значення:
6x(6x - 4) + 9х(3 - 4х), якщо х = -3.
ДОПОМОЖІТЬ, ДАЮ 25 БАЛОВ
Ответы
Автор ответа:
0
Объяснение:
користуйся, гарного дня
Приложения:
Автор ответа:
0
пробач, якщо не правильно. краще після здачі, запитай у вчителя, як це робити.
Приложения:
Похожие вопросы
Предмет: Окружающий мир,
автор: kamilaklimcenko41
Предмет: Геометрия,
автор: vadimmagula2398
Предмет: История,
автор: nika2012nikaaaaa
Предмет: Математика,
автор: arsenijskuratin178
Предмет: Қазақ тiлi,
автор: mahsutovafiruza4