Предмет: Математика,
автор: zuevavitalina7
Номер 610
1 примеР
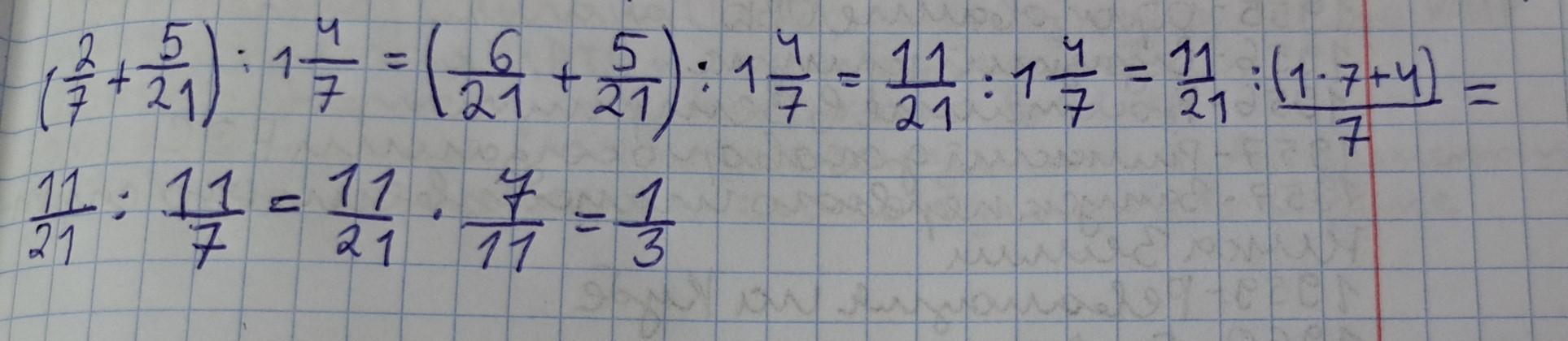
(2/7+5/21):1 4/7
ПОМОГИТЕ ПОЖАЛУЙСТА
Ответы
Автор ответа:
1
Ответ:
один умножаем на семь и прибавляем 4
Приложения:
Автор ответа:
0
Ответ:
ответ на фото
Приложения:
Похожие вопросы
Предмет: Английский язык,
автор: pobedonosnaanna
Предмет: Литература,
автор: Avrora201022
Предмет: Английский язык,
автор: vargamiroslavvv
Предмет: Алгебра,
автор: lizazaitseva20
Предмет: Русский язык,
автор: Аноним