Предмет: Математика,
автор: yarikremenyuk27
Помогите срочно (15 баллов!)
Приложения:
Ответы
Автор ответа:
0
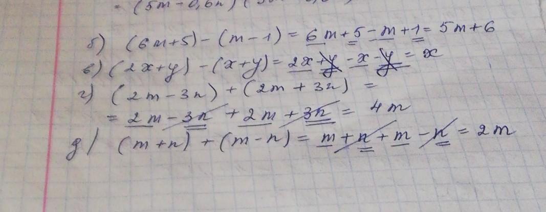
Ответ:
Смотри решение на фото...
Приложения:
Автор ответа:
0
Ответ:
Пошаговое объяснение:
Смотреть вложение
Приложения:
Похожие вопросы
Предмет: Русский язык,
автор: sueta1979
Предмет: МХК,
автор: sherbmil
Предмет: Українська мова,
автор: akovalska1606
Предмет: Русский язык,
автор: Аноним
Предмет: Биология,
автор: dianaoblozhko