Предмет: Алгебра, автор: maslijkata1

допоможіть будь ласка ​

Приложения:

Ответы

Автор ответа: aikoaiko200910
0

Объяснение:

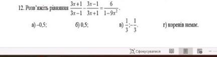
думаю будет а)-0,5

удачи)))

Приложения:
Похожие вопросы
Предмет: Алгебра, автор: megahonor71065
Предмет: Биология, автор: Аноним
Пожалуйста,помогите с тестом,буду очень благодарна!
Пожалуйста,помогите с тестом,буду очень благодарна!
30. В основе репликации ДНК лежит:
A. механизм самокоррекции;
B. механизм дорепликативной репарации;
C. принцип комплементарности;
D. механизм пострепликативной репарации;
E. самокопирование.

31. Функцией фермента топоизомеразы является:
A. сшивание ферментов ДНК;
B. предупреждение образования супервитков двойной спирали ДНК;
C. раплетание двойной спирали ДНК;
D. синтез РНК затравки;
E. репликация теломер.

32. После репликации из одной двойной спирали ДНК образуются:
A. одна двойная спираль;
B. две двойные спирали;
C. две одинарные спирали;
D. четыре двойные спирали;
E. три одинарные спирали.

33. В виде длинного непрерывного фрагмента в процессе репликации образуется:
A. лидирующая цепь;
B. запаздывающая цепь;
C. фрагменты Оказаки;
D. репликон;
E. отстающая цепь.

34. Какую функцию выполняют теломеры:
A. участвуют в конденсации хромосом
B. участвуют в делении клетки
C. участвуют в репликации
D. предотвращают слипание и укорачивание хромосом
E. участвуют в репарации

35. Элементарная функциональная единица наследственности:
A. геном;
B. хромосома;
C. нуклеотид;
D. триплет;
Е ген

36. При шифровке аминокислот тремя нуклеотидами образуется:
A. 16 триплетов;
B. 61 триплет;
C. 64 триплета;
D. 36 триплетов;
E. 72 триплета.

37. Чему соответствует информация одного триплета нуклеотидов:
A. полипептиду;
B. аминокислоте;
C. дипептиду;
D. гену;
E. ДНК.

38. Специфичность кода свидетельствует, что:
A. многие аминокислоты шифруются несколькими триплетами;
B. каждый триплет кодирует только одну определенную аминокислоту;
C. единицей кода является триплет;
D. кодирование аминокислот осуществляется несколькими нуклеотидами;
E. соседние кодоны не перекрывают друг друга.

39. Какой набор гистонов содержит нуклеосома:
A. Н1, Н2А, Н2В;
B. Н2А, Н2В, Н3,Н4;
C. Н2А, Н3, Н4;
D. Н1, Н3, Н4;Н1, Н2А, Н2В, Н3, Н4.

40. Кокой из гистонов участвует в сближении нуклеосом:
A. Н1
B. Н2В
C. Н2А
D. Н3
E. Н4