Предмет: Математика,
автор: msemykopenko1
хелп пж я хз как решить только нормально надо быстро
Приложения:
Ответы
Автор ответа:
1
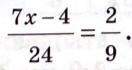
Ответ:
..............
Пошаговое объяснение:
см фото
Приложения:
msemykopenko1:
спс
Похожие вопросы
Предмет: Математика,
автор: t33659765
Предмет: Немецкий язык,
автор: sofiaborovec647
Предмет: Английский язык,
автор: lenuska80
Предмет: Английский язык,
автор: Аноним