Предмет: Алгебра,
автор: andreykim8228
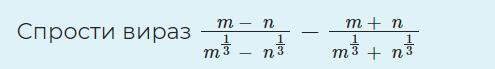
Даю 75 баллов за решение
Приложения:
Ответы
Автор ответа:
1
Ответ:
2∛m∛n
Объяснение:
Знаменник розкладаємо за формулою різниці кубів двох виразів.
Приложения:
Tyankanax:
Не реально
И мне помогло, спасибо
Похожие вопросы
Предмет: Литература,
автор: kyrylomischenko09
Предмет: Українська мова,
автор: dariapint2hgmailcom
Предмет: История,
автор: blekangel180
Предмет: Литература,
автор: Gerdon
Предмет: Другие предметы,
автор: kuttubekovilyas