Предмет: Алгебра,
автор: Adelsuteeva
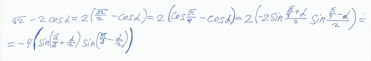
преобразуйте в произведение: корень из 2 - 2cos альфа
погогите пожалуйста
Ответы
Автор ответа:
0
Решение во вложении.
Приложения:
Похожие вопросы
Предмет: Русский язык,
автор: merinslav
Предмет: Литература,
автор: justamanjam13
Предмет: Українська мова,
автор: Аноним
Предмет: История,
автор: Lenkopenko86