Предмет: Алгебра,
автор: yaroslav2011yaroslav
помогите пж срочно ср по алгебре
Приложения:
Ответы
Автор ответа:
0
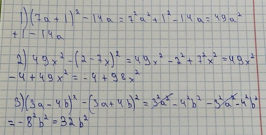
Ответ:
Смотри решение на фото...
Приложения:
Автор ответа:
0
Объяснение:
надеюсь понятно) автор зделай это решение лучшим если это правильно
Приложения:
kyrmyzy282:
ну правильно?
Похожие вопросы
Предмет: Алгебра,
автор: bibatwitchtv
Предмет: Биология,
автор: Ledy345
Предмет: Английский язык,
автор: poliukhovychserhiy
Предмет: Физика,
автор: chromsromanenko