Предмет: Алгебра,
автор: dyadyalek
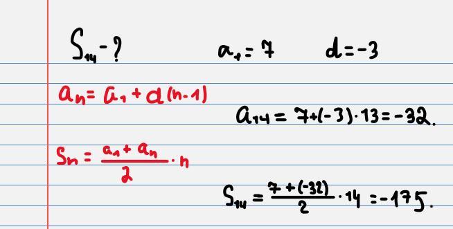
Знайти суму перших чотирнадцяти членів арифметичної прогресії у якої перший член дорівнює сім, а різниця дорівнює мінус три
Ответы
Автор ответа:
1
дивіться фото..............................
Приложения:
Похожие вопросы
Предмет: Математика,
автор: zhanatka1986
Предмет: Физика,
автор: iwenyafox
Предмет: Математика,
автор: aleskerovaelizaveta
Предмет: Математика,
автор: помощщщщщщщщ
Предмет: Математика,
автор: Аноним