Предмет: Физика,
автор: satroshka
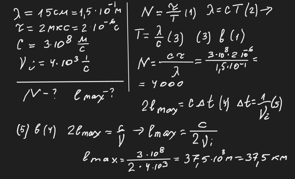
Срочно!!!! Родіолокатор працює на хвилі 12 см і щосекунди випромінює 4 000 імпульсів тривалістю
2 мкс. Скільки електромагнітних коливань міститься в кожному імпульсі? Яка максимальна глибина розвідки цього радіолокатора? На якій мінімальній відстані від радіолокатора може бути виявлено ціль?
Ответы
Автор ответа:
2
Відповідь:
Пояснення:
Приложения:
ilnickijviktor42:
Звідки взялося 15?
Похожие вопросы
Предмет: Математика,
автор: kandiroza
Предмет: Химия,
автор: gamemode666valera
Предмет: Українська мова,
автор: zejkanivanna9
Предмет: Литература,
автор: marinabaroeva8
Предмет: История,
автор: veronika0807veronika