Предмет: Алгебра, автор: googlskola

Развяжите пример....

Приложения:

Ответы

Автор ответа: larisaserova53
2

Ответ:

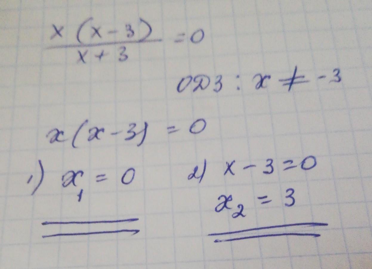
Смотри решение на фото...

Приложения:

kimkarina953: Здравствуйте, не могли бы помочь с алгеброй пожалуйста
Похожие вопросы
Предмет: Математика, автор: romasia1007
Предмет: Українська мова, автор: Violetta856
1. Складнопідрядне речення з підрядним означальним

а)І де в світі тая сила, щоб в бігу його спинила...

б)Я сідаю на горбок, щоб ключі журавлині зустріти. в)Мені чогось сумно й боязно так, що аж серце моє мре.

г)Благословен, чий труд прекрасний життя здіймає із руїн.

2.Складнопідрядне речення з підрядним з’ясувальним

а)Лисицю найвигідніше полювати взимку, коли земля натягне на себе білу пухку ковдру. б)Мій перший вірш написаний в окопі, на тій сипкій од вибухів стіні, коли згубило зорі в

гороскопі моє дитинство, вбите на війні.

в)Дуже любив професор, коли перед Зеленими святами дівчата приходили у плавні зілля

збирати та квіти для вінків.

3.Підрядну частину до головної приєднує сполучне слово в реченні а)Не писав я до тебе в останні дні через те, що був у дорозі.

б)О, як потрібно вміти дорожити безцінним спадком, що дали віки.

в)Ти ніяк не можеш зрозуміти, що без науки неможливий розвиток суспільства.

г)Цвіте липа так буйно й розкішно, що все місто плаває в духмяних пахощах.