Предмет: Математика,
автор: Аноним
(5 целых - 3/4) - (2 целые 1/4 + 1 целая 3/4)
Можно с обьяснением пожалуйста
Ответы
Автор ответа:
1
Ответ:
Пошаговое объяснение:
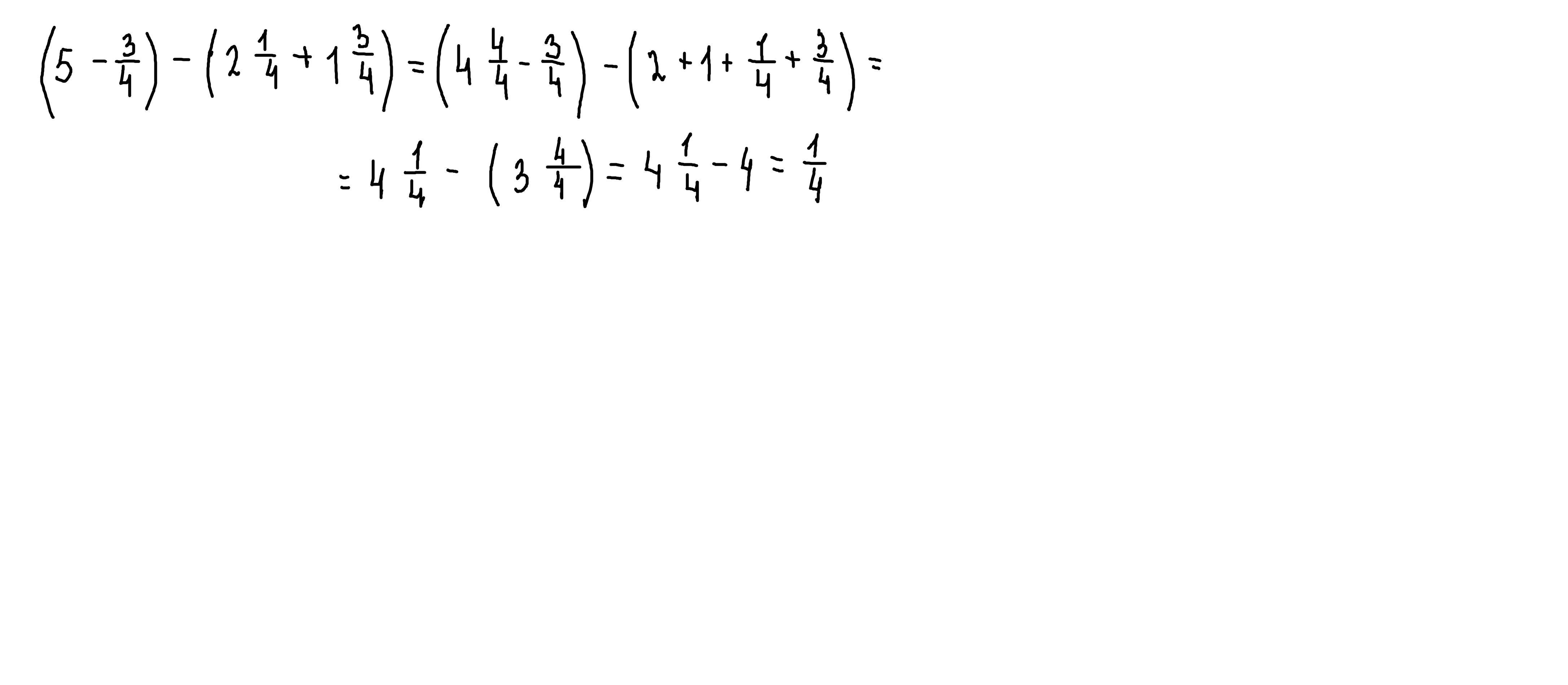
5- 3/4-2 1/4+ 1 3/4=1/4
1)5-3/4= 4 4/4-3/4 =4 1/4
2)2 1/4+1 3/4=3 4/4=4
3)4 1/4-4=1/4
Автор ответа:
1
Ответ:
1/4
Пошаговое объяснение:
решение внизу
Приложения:
parus77:
пожалуйста
Похожие вопросы
Предмет: Алгебра,
автор: fffdddc7
Предмет: Алгебра,
автор: snizhananovako66
Предмет: Українська мова,
автор: sajkovazlata
Предмет: Физика,
автор: awp2228
Предмет: Математика,
автор: dilsodamurodova