Предмет: Геометрия, автор: ahiro813

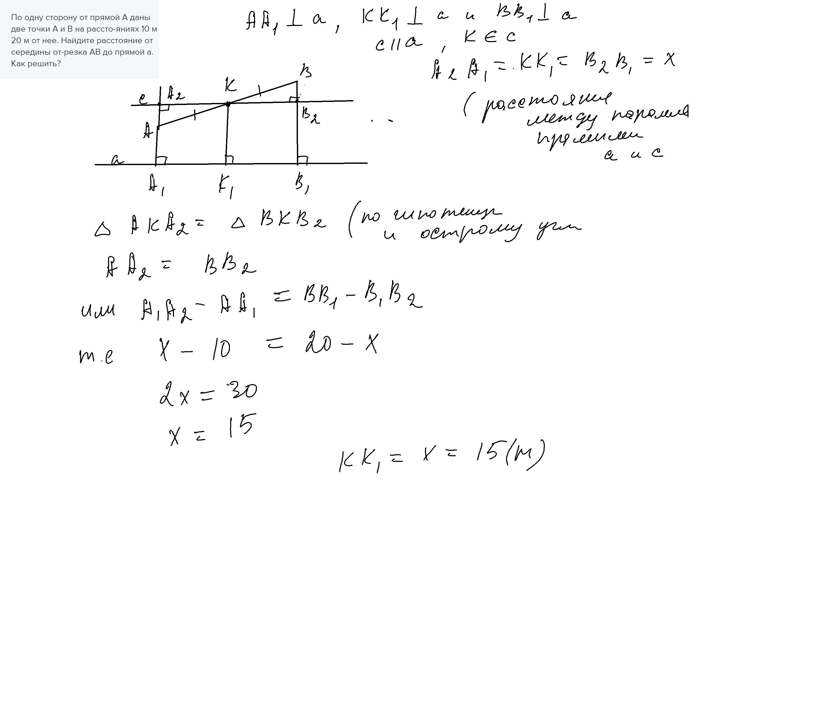
По одну сторону от прямой А даны две точки А и В на рассто-яниях 10 м и 20 м от нее. Найдите расстояние от середины от-резка АВ до прямой а. Как решить?

Ответы

Автор ответа: vikll
1

Ответ:   можно и через теорему о средней линии трапеции

Приложения:

ГАЗ52: Через теорему быстрее.
Похожие вопросы
Предмет: Физика, автор: visimksiomi
ВИКОНАЙТЕ РОБОТУ 3 Завдання І. Вимірювання періоду обертання кульки на нитці 1. Пiдвiсьте до штатива кульку на так, щоб відстань між куль- кою і поверхнею столу була приблизно 1 см. 2. Помістіть під кулькою аркуш паперу так, щоб у положенні рівноваги кулька мiстилась над центром намальованого Виміряйте радіус кола. R= 3. Приведіть кульку в обертальний рух так, щоб вона рухалась по траєкторії, максимально наближеній до намальова- ного кола (див. рис.). кола: te 4. Виміряйте проміжок часу, за який кулька зробить N=20 обертів. 5. Повторіть дослід тричі та знайдіть середнє значення часу: ѝ = C; 12 =______C; 13 =____________C; 6. Обчисліть середнє значення періоду обертання: Т. = 1 - - N - 1, +12 +13. 3 R Завдання ПI. Визначення періоду обертання кінця стрілки годинника 1. Виразіть у секундах (хвилинах, годинах) перiоди обертання секун- дної, хвилинної та годинної стрілок годинника. 2. Результати запишіть у таблицю. Тіло, що обертається Секундна стрілка Хвилинна стрілка Годинна стрілка Період Т XB ЗРОБІТЬ ВИСНОВКИ Під час виконання лабораторної роботи ми виміряли ГОД 11​
Предмет: Українська мова, автор: jsvskf
СРОЧНО ПОЖАЛУЙСТА
1. Позначте речення з однорідними означеннями (розділові знаки вилучено): А Чарами віє від необмеженого синього простору. Б Густий осінній туман встає над лісом вечірньою добою. В Набачився ланів зелених золотих набачився надихався напився. Г Ранковий легкий вітер розганяв залишки туману
2. Перед однорідними членами речення потрібно ставити двокрапку, а після них - тире в реченні (розділові знаки вилучено): А Надворі повсюди лежала роса на пожовклій траві на круглій павутині на капустах у городі. Б І впевненість і авторитет і службові підвищення все захиталось розчавлене батьковим присудом. В Я прагнув того щоб відносини дитини з іншими людьми і вдома і в школі будуватися на обов’язку й відповідальності. Г Усе навколо лози висип кручі ліс блищить і сяє на сонці.
3. Поширене означення відокремлюється в реченні (розділові знаки вилучено): А Без кінця дивився б на цю купану дощем зелену могуть. Б Ставок блищить на сонці неначе дзеркало вправлене в срібні рами. В Теплом дихала настояна на травах та квітах земля. Г А навкруги вся ніч переповнена розміреним шумом хлібів.
4. Позначте речення, у якому не потрібно виділяти комами поширене означення: А Степ оповитий тишею дихав пахощами росяних трав. Б Налита сонцем і вітрами хлюпоче веслами весна. В Гудуть з вітрами до світання дощем оплакані сади. Г Я небесами пійманий тремчу.
5. Знайдіть речення з відокремленою прикладкою: А Книги – морська глибина... Б Встає над землею людина - господар своєї землі. В Йде весна запашна, квітами-перлами закосичена. Г Народна пісня землі української – це насамперед наша історія.
6. Позначте речення, у якому одиничний дієприслівник потрібно відокремити комою (розділові знаки вилучено): А Людина! Це ж яке слово! Його треба говорити стоячи. Б Гуркіт канонади ревів не спиняючись. В Похитуючись Соломія підійшла до столу. Г Бійці сиділи деякий час задумавшись.
7. Виділіть речення, що потребує редагування: А Шуміло море, сяючи на сонці. Б Курликаючи в безгомінні, пролинув журавлиний ключ. В Поїзд мчав, не зупиняючись на станціях. Г Проходячи біля будинку, почувся гомін.
8. Позначте речення, у якому перед як потрібно поставити кому (розділові знаки вилучено): А Весь світ знає Довженка як великого кінорежисера. Б Палаючий Будапешт був перед нами як на долоні. В Діти як квіти поливай то ростимуть. Г Сосюра як справжній лірик різноманітний у своїх переживаннях.
9. Знайдіть речення, у котрому допущено помилку при відокремленні уточню вальних членів речення: А Коло самого дому, під вікнами, росли кущі жовтої акації. Б Рано, за холоду, з росою добре жати. В Під липою над самим джерелом, стояв чотиригранний камінь. Г Над оболонню висять низько білі, аж прозорі, хмари.
11. Запишіть речення, розставте у ньому розділові знаки. Виконайте його повний синтаксичний розбір. Перед нею відкривається особисте щастя родинні втіхи достаток безжурне життя (М. Коцюбинський).​
Предмет: Биология, автор: Аноним