Предмет: Математика,
автор: wrdertwrtyrwruyeegfw
будь ласка допоможіть хто-небудь
Приложения:
Ответы
Автор ответа:
0
Ответ:
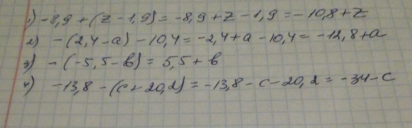
Смотри решение на фото....
Приложения:
Автор ответа:
0
Пошаговое объяснение:
-8,9 + (z - 1,9) = -8,9 + z - 1,9 = z - 10,8
-(2,4 - a) - 10,4 = -2,4 + a - 10,4 = a - 12,8
-(-5,5 - в) = 5,5 + в
-13,8 - (с + 20,2) = -13,8 - с - 20,2 = -34 - с
Похожие вопросы
Предмет: История,
автор: mironenkomilana3
Предмет: Математика,
автор: katt0mus293
Предмет: Физика,
автор: taniakozak2020
Предмет: Математика,
автор: musabaevanesibel
Предмет: Информатика,
автор: habitperizat46