Предмет: Алгебра,
автор: 606002981
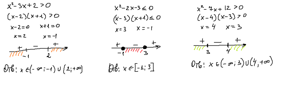
Решить квадратное неравенство:
1) x^2-3x+2>0
2) x^2-2x-3<или=0
3) x^2-7x+12>0
Заранее спасибо!:)
Ответы
Автор ответа:
0
Если понравилось решение - нажимай "спасибо" и "лучший" (рядом с кнопкой "спасибо") :)
Приложения:
Похожие вопросы
Предмет: История,
автор: 13451234
Предмет: Алгебра,
автор: hhhhjk140
Предмет: Физика,
автор: sonychuvakova
Предмет: География,
автор: Аноним
Предмет: Литература,
автор: errors